Signál, rozdelenie signálov, prevod signálov
Signály z toho najjednoduchšieho hľadiska možno rozdeliť na Signály diskrétne (Digitálne) a Signály spojité (Analógové). V audiotechnike sa stretneme s oboma pojmami. Aj preto by bolo dobré vysvetliť a ukázať, ako jednotlivé signály vyzerajú.
Digitálny (diskrétny) signál
Ide o diskrétny signál, ktorý má podľa teórie konečný počet stavov. Tým sa líši od signálu analógového, ktorý je spojitý a má nekonečne veľa stavov. Digitálny signál býva vo väčšine prípadov len binárny, a teda prenáša len dva stavy, jednotku a nulu. Tento signál je vzorkovaný, a následne kvantovaný. Je tvorený postupnosťou samotných vzoriek, ktoré, ako som už spomenul, nadobúdajú obmedzený počet hodnôt.
Čokoľvek, čo máte uložené vo svojom pc, sa dá v konečnom dôsledku označiť za digitálny záznam. Digitálny kód však nie je vhodný na tvorbu samotnej akustickej vlny, o ktorú sa má postarať menič. Ten vyžaduje pre korektnú činnosť na svojich svorkách signál Analógový.
Analógový (spojitý) signál
Tento signál je daný spojitou funkciou spojitého času. Análogové signály možno ďalej deliť podľa toho, čo prenášajú. Ako príklad možno uviesť akustický signál, elektrický signál, optický signál a podobne.
Presne takýto signál nám treba priviesť na svorky meniča, aby nám mohol z akustického signálu vytvoriť akustickú vlnu – realizovať reprodukciu.
Prevod signálov, D/A, A/D prevodníky
Keďže už dávno prešla doba, keď sme väčšinu svojej hudby uchovávali v analógovom stave (LP platne, gramofóny), budem sa venovať primárne D/A prevodníku.
Čo je to zvuková karta
Zvuková karta je zariadenie, ktoré v sebe implantuje mnoho obvodov, ktoré sú konštruované na prácu so signálom. Počítačové zvukové karty umožňujú nielen D/A (digitálno-analógový prevod) a A/D (analógovo-digitálny) prevod, ale aj rôzne modulácie signálu ešte pred prevodom, či po ňom. V jednoduchosti by sa dalo napísať, že zvuková karta slúži na prácu a spracovanie digitálneho, či analógového signálu.
Aký je rozdiel medzi zvukovou kartou a D/A prevodníkom
V podstate žiaden. Aj keď z iného pohľadu je rozdiel jasný. Zvuková karta ako taká zvláda okrem D/A prevodu skoro vždy aj A/D prevod. Taktiež podporuje rôzne efekty, či „vylepšenia“ signálu. Súčasťou moderných zvukových kariet býva aj spracovanie viackanálového signálu (2.1, 5.1, 7.1 ....), podpora rôznych Dolby surround, či THX.
Samotný D/A prevodník sa orientuje čisto na digitálno-analógový prevod. Konštrukčne teda nemusí obsahovať ďalšie obvody pre úpravu signálu za chodu, či kódovanie viackanálového zvuku. Tým pádom sa dá za cenu porovnateľnú so zvukovou kartou zostrojiť zariadenie, ktoré bude vykonávať D/A prevod kvalitnejšie (ak zohľadníme fakt, že každá súčiastka navyše vnáša do výstupného signálu určité „rušenie“). Väčšinou sa cez samotné D/A prevodníky kóduje „len“ stereo signál. Na druhú stranu však treba poznamenať, že integrované prevodníky v AVR či Blueray prehrávačoch spracujú aj viackanálový zvuk. Rozdiel medzi zvukovou kartou a samotným D/A prevodníkom je teda z môjho pohľadu len formálny.
Ako sa spracúva/prevádza digitálny signál na analógový
D/A prevod sa môže vykonávať rôznymi spôsobmi. Nie je ich však ani zďaleka tak veľa, ako v prípade opačného, A/D prevodu.
Najrozšírenejšie sú paralelné D/A prevodníky. Používajú sa však aj sériové, či D/A prevodníky s pomocným prevodom.
Prevod sa uskutočňuje priamym prevodom kódováného slova na analógovú veličinu, pričom výstup je určený váženým súčtom odstupňovaných referenčných hodnôt výstupnej veličiny. Veľkosť hodnôt zodpovedá váham bitom kódovaného slova. Váhové koeficienty odpovedajú hodnotám príslušných bitov. Referenčné hodnoty sú odstupňované veľkosti DC prúdov a sčítavajú sa v uzle – celkový prúd je výstup D/A prevodníka (priamy paralelný prevod). Ak sa však sčítavajú postupne v čase, ide o priamy sériový prevod.
Prevodová charakteristika D/A prevodníka hovorí o prevodovej vlastnosti samotného prevodníka. Vstupom do prevodníka býva digitálny signál – kód. Výstup na D/A prevodníku tvorí výstupné napätie, ktoré má konkrétnu hodnotu. Zoberme si príklad jednoduchého D/A prevodníka, ktorý bude mať nasledujúce parametre.
Prevodník je 3 bitový - 23
Jeho rozsah je 0-10 V
Je ideálny
Ako bude vyzerať ideálna prevodová charakteristika tohto prevodníka?
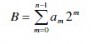
Ako si môžeme z prehľadného grafu všimnúť, každý konkrétny kód má pridelenú určitú úroveň napätia. Prechod medzi jednotlivými stavmi je na výstupe linearizovaný. Z tohto faktu nám vychádza jednoduchá rovnica. Viacbitový prevodník = kvalitnejší prevod. Treba si uvedomiť, že pomocou D/A prevodníkov sa zo vstupného kódu získava analógové napätie zodpovedajúcej hodnoty U. Výstupné napätie D/A prevodníkov je dané lineárnou závislosťou U=kU(ref)B.
U(ref)- napätie určujúce výstupný napäťový rozsah, k-konštanta úmernosti, B-vstupné číslo dané binárnym kódom:
Kde am je hodnota m-tého bitu (0 alebo 1) a n je počet bitov D/A prevodníka.
Keď teda zvýšime počet bitov prevodníka, dokáže signál presnejšie rekonštruovať do analógovej podoby (predstavte si na grafe namiesto 13-tich stavov 3 stavy a musí vám byť ihneď jasné, ako veľmi by sa líšila rekonštrukcia takéhoto signálu pri použití nevhodného prevodníka). Na druhú stranu je treba si uvedomiť, že by bolo nanajvýš zbytočné prevádzať 16 bitový signál 24 bitovým prevodníkom. V tomto prípade nemožno vyjadriť rozdiel medzi 16, či 24 bit prevodníkom na výstupe.
Základné vlastnosti D/A prevodníka môžeme teda zhrnúť nasledovne:
-Rozlišovacia schopnosť D/A prevodníka N – počet rozlíšených úrovní výstupnej analógovej veličiny.
N=2n
Kde n je počet bitov D/A prevodníka.
-Výstupný rozsah D/A prevodníka FS (full scale) – je daný rozdielom maximálnej a minimálnej hodnoty výstupného napätia D/A prevodníka.
-Krok kvantovania Q – predstavuje veľkosť zmeny výstupného napätia, ktorá zodpovedá zmene vstupného číselného kódu o jednotku. Niekedy sa označuje aj ako LSB, t.j váha najmenej významového bitu. Krok kvantovania je daný rovnako ako v prípade A/D prevodníkov podielom výstupného rozsahu FS a rozlišovacej schopnosti N: Q=FS/N
V praxi sa v audiotechnike používa 16-24 bit kódovanie signálu. 24 bit nahrávky bývajú označované za HiRes.
A/D prevod v skratke
Pri A/D prevode je to tak trocha komplikovanejšie. Princíp je v podstate dosť podobný, no na vyhodnocovanie výsledkov sa používa veľmi veľa spôsobov. Tomu by sa dalo skutočne venovať veľa času a napísať o tom samotný článok. Poďme sa teda na A/D prevod pozrieť aspoň z rýchlika.
A/D prevod – nahrávanie zvuku
Fyzikálna podstata A/D prevodu v audiotechnike vyjadruje schopnosť zariadení digitalizovať spojitý signál. V najjednoduchšej podstate ide teda o nahrávanie zvuku. Nahrávanie sa realizuje pomocou mikrofónu, za ktorým je zaradený obvod, ktorý okrem iného obsahuje integrovaný A/D prevodník.
Úlohou prevodníka je prevod analógovej veličiny – napätia – z nekonečného množstva hodnôt v rámci daného intervalu na číslo z konečnej množiny čísel, najčastejšie vyjadrené v binárnom tvare. Tento proces sa nazýva kvantizácia, t.j diskretizácia v hodnote napätia. V praxi sa však realizuje viacero takýchto prevodov za sebou, t.j. dochádza aj k prevodu spojite sa meniaceho vstupného napätia na postupnosti diskrétnych hodnôt – vzorkovanie. Vzorkovanie predstavuje diskretizáciu v čase.
V praxi to vyzerá nasledovne:
Na obrázku možno vidieť prevodovú charakteristiku ideálneho unipolárneho trojbitového AČ prevodníka.
Myslím, že k signálom, ich deleniu a prevádzaniu stačilo. Poďme sa pozrieť na základný popis elektro-akustických meničov, ich rozdelenie a kategorizáciu.
 
    





TomKocuR
Broslowski
avendersor
haselhof
Broslowski
skuli
haselhof
Broslowski
sqo
Broslowski
sqo
Broslowski